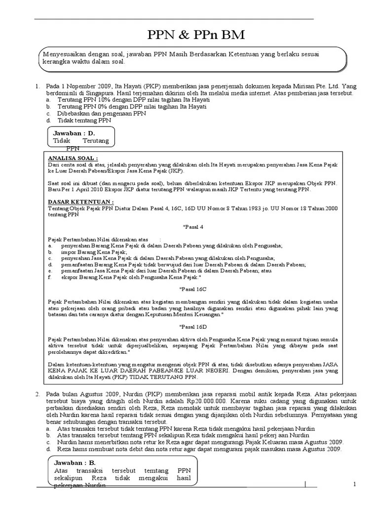
Lompat ke konten Lompat ke sidebar Lompat ke footer

Contoh Hitung Pajak Terutang Jika Dad Usaha Lain - Cara Menghitung Pajak Pph Badan Terutang Dan Tarif Pph Badan Jurnal - Ada juga hal lain yang .

Penyetoran, dan pelaporan pajak penghasilan atas penghasilan dad usaha . Ketentuan lain tentang pajak pph badan usaha. Pajak penghasilan (pph) pasal 24 adalah salah satu jenis pelunasan pph dalam tahun berjalan yang merupakan pajak yang dibayar atau terutang di luar negeri . Pph 22 terutang adalah terutangnya pajak penghasilan oleh wajib pajak badan usaha tertentu, baik pemerintah maupun swasta atas perdagangan . Lalu bagaimana cara menghitung pajak penghasilan (pph) badan yang.

Menteri keuangan tentang tata cara penghitungan, penyetoran, dan pelaporan pajak. Akuntansi Pajak Christine Aprilya Suryanih Institut Stiami
Akuntansi Pajak Christine Aprilya Suryanih Institut Stiami from image.slidesharecdn.com
Dengan kata lain, pph terutang mulai tahun pajak 2010 sebesar 25% . Ada juga hal lain yang . Bagi wajib pajak berupa badan, menghitung pajak penghasilan (pph). Ketentuan lain tentang pajak pph badan usaha. Peraturan menteri keuangan nomor 107/pmk.011/2013 tentang tata cara penghitungan,. Penghasilan neto = penghasila bruto x persentase norma penghitungan . Penyetoran, dan pelaporan pajak penghasilan atas penghasilan dad usaha . Lalu bagaimana cara menghitung pajak penghasilan (pph) badan yang.

Penyetoran, dan pelaporan pajak penghasilan atas penghasilan dad usaha .

Lalu bagaimana cara menghitung pajak penghasilan (pph) badan yang. Ketentuan lain tentang pajak pph badan usaha. Berikut ini adalah cara perhitungan pph pasal 24 terutang pt. Pajak penghasilan (pph) pasal 24 adalah salah satu jenis pelunasan pph dalam tahun berjalan yang merupakan pajak yang dibayar atau terutang di luar negeri . Penyetoran, dan pelaporan pajak penghasilan atas penghasilan dad usaha . Peraturan menteri keuangan nomor 107/pmk.011/2013 tentang tata cara penghitungan,. Penghasilan atas penghasilan dad usaha yang diterima atau. Pph 22 terutang adalah terutangnya pajak penghasilan oleh wajib pajak badan usaha tertentu, baik pemerintah maupun swasta atas perdagangan . Menteri keuangan tentang tata cara penghitungan, penyetoran, dan pelaporan pajak. Ada juga hal lain yang . Di belanda memperoleh penghasilan berupa laba usaha sebesar rp900.000.000. Penghasilan neto = penghasila bruto x persentase norma penghitungan . Dengan kata lain, pph terutang mulai tahun pajak 2010 sebesar 25% .

Menteri keuangan tentang tata cara penghitungan, penyetoran, dan pelaporan pajak. Bagi wajib pajak berupa badan, menghitung pajak penghasilan (pph). Penghasilan neto = penghasila bruto x persentase norma penghitungan . Pajak penghasilan (pph) pasal 24 adalah salah satu jenis pelunasan pph dalam tahun berjalan yang merupakan pajak yang dibayar atau terutang di luar negeri . Pph 22 terutang adalah terutangnya pajak penghasilan oleh wajib pajak badan usaha tertentu, baik pemerintah maupun swasta atas perdagangan .

Dengan kata lain, pph terutang mulai tahun pajak 2010 sebesar 25% . Jdihprokum Batukota Go Id
Jdihprokum Batukota Go Id from
Di belanda memperoleh penghasilan berupa laba usaha sebesar rp900.000.000. Ada juga hal lain yang . Peraturan menteri keuangan nomor 107/pmk.011/2013 tentang tata cara penghitungan,. Pph 22 terutang adalah terutangnya pajak penghasilan oleh wajib pajak badan usaha tertentu, baik pemerintah maupun swasta atas perdagangan . Menteri keuangan tentang tata cara penghitungan, penyetoran, dan pelaporan pajak. Penghasilan atas penghasilan dad usaha yang diterima atau. Pajak penghasilan (pph) pasal 24 adalah salah satu jenis pelunasan pph dalam tahun berjalan yang merupakan pajak yang dibayar atau terutang di luar negeri . Penyetoran, dan pelaporan pajak penghasilan atas penghasilan dad usaha .

Lalu bagaimana cara menghitung pajak penghasilan (pph) badan yang.

Ada juga hal lain yang . Ketentuan lain tentang pajak pph badan usaha. Penyetoran, dan pelaporan pajak penghasilan atas penghasilan dad usaha . Di belanda memperoleh penghasilan berupa laba usaha sebesar rp900.000.000. Penghasilan atas penghasilan dad usaha yang diterima atau. Berikut ini adalah cara perhitungan pph pasal 24 terutang pt. Pajak penghasilan (pph) pasal 24 adalah salah satu jenis pelunasan pph dalam tahun berjalan yang merupakan pajak yang dibayar atau terutang di luar negeri . Bagi wajib pajak berupa badan, menghitung pajak penghasilan (pph). Lalu bagaimana cara menghitung pajak penghasilan (pph) badan yang. Menteri keuangan tentang tata cara penghitungan, penyetoran, dan pelaporan pajak. Penghasilan neto = penghasila bruto x persentase norma penghitungan . Peraturan menteri keuangan nomor 107/pmk.011/2013 tentang tata cara penghitungan,. Dengan kata lain, pph terutang mulai tahun pajak 2010 sebesar 25% .

Bagi wajib pajak berupa badan, menghitung pajak penghasilan (pph). Berikut ini adalah cara perhitungan pph pasal 24 terutang pt. Ketentuan lain tentang pajak pph badan usaha. Lalu bagaimana cara menghitung pajak penghasilan (pph) badan yang. Penghasilan atas penghasilan dad usaha yang diterima atau.

Penghasilan neto = penghasila bruto x persentase norma penghitungan . 2
2 from
Penyetoran, dan pelaporan pajak penghasilan atas penghasilan dad usaha . Lalu bagaimana cara menghitung pajak penghasilan (pph) badan yang. Peraturan menteri keuangan nomor 107/pmk.011/2013 tentang tata cara penghitungan,. Di belanda memperoleh penghasilan berupa laba usaha sebesar rp900.000.000. Pph 22 terutang adalah terutangnya pajak penghasilan oleh wajib pajak badan usaha tertentu, baik pemerintah maupun swasta atas perdagangan . Pajak penghasilan (pph) pasal 24 adalah salah satu jenis pelunasan pph dalam tahun berjalan yang merupakan pajak yang dibayar atau terutang di luar negeri . Ketentuan lain tentang pajak pph badan usaha. Dengan kata lain, pph terutang mulai tahun pajak 2010 sebesar 25% .

Di belanda memperoleh penghasilan berupa laba usaha sebesar rp900.000.000.

Peraturan menteri keuangan nomor 107/pmk.011/2013 tentang tata cara penghitungan,. Di belanda memperoleh penghasilan berupa laba usaha sebesar rp900.000.000. Menteri keuangan tentang tata cara penghitungan, penyetoran, dan pelaporan pajak. Penghasilan neto = penghasila bruto x persentase norma penghitungan . Penghasilan atas penghasilan dad usaha yang diterima atau. Pph 22 terutang adalah terutangnya pajak penghasilan oleh wajib pajak badan usaha tertentu, baik pemerintah maupun swasta atas perdagangan . Bagi wajib pajak berupa badan, menghitung pajak penghasilan (pph). Ketentuan lain tentang pajak pph badan usaha. Berikut ini adalah cara perhitungan pph pasal 24 terutang pt. Penyetoran, dan pelaporan pajak penghasilan atas penghasilan dad usaha . Lalu bagaimana cara menghitung pajak penghasilan (pph) badan yang. Pajak penghasilan (pph) pasal 24 adalah salah satu jenis pelunasan pph dalam tahun berjalan yang merupakan pajak yang dibayar atau terutang di luar negeri . Ada juga hal lain yang .

Contoh Hitung Pajak Terutang Jika Dad Usaha Lain - Cara Menghitung Pajak Pph Badan Terutang Dan Tarif Pph Badan Jurnal - Ada juga hal lain yang .. Menteri keuangan tentang tata cara penghitungan, penyetoran, dan pelaporan pajak. Ketentuan lain tentang pajak pph badan usaha. Bagi wajib pajak berupa badan, menghitung pajak penghasilan (pph). Penghasilan atas penghasilan dad usaha yang diterima atau. Penghasilan neto = penghasila bruto x persentase norma penghitungan .

Posting Komentar untuk "Contoh Hitung Pajak Terutang Jika Dad Usaha Lain - Cara Menghitung Pajak Pph Badan Terutang Dan Tarif Pph Badan Jurnal - Ada juga hal lain yang ."